English
新闻公告
More
综述与评论

二氧化碳与二甲胺催化合成N,N-二甲基甲酰胺

  • 吴亚娟 , 1, * ,
  • 罗静雯 1 ,
  • 黄永吉 2
展开
  • 1 西南民族大学化学与环境学院 国家民委化学基础重点实验室 成都 610041
  • 2 中国科学院兰州化学物理研究所羰基合成与选择氧化国家重点实验室 兰州 730000

收稿日期: 2021-09-07

  修回日期: 2021-11-30

  网络出版日期: 2022-01-05

基金资助

国家自然科学基金项目(22002122)

西南民族大学中央高校基本科研业务费专项项目(2020NQN08)

Catalytic Synthesis of N,N-Dimethylformamide from Carbon Dioxide and Dimethylamine

  • Yajuan Wu , 1 ,
  • Jingwen Luo 1 ,
  • Yongji Huang 2
Expand
  • 1 Key Laboratory of General Chemistry of the National Ethnic Affairs Commission, School of Chemistry and Environment, Southwest Minzu University, Chengdu 610041, China
  • 2 State Key Laboratory for Oxo Synthesis and Selective Oxidation, Lanzhou Institute of Chemical Physics, Chinese Academy of Sciences,Lanzhou 730000, China
* Corresponding author e-mail:

Received date: 2021-09-07

  Revised date: 2021-11-30

  Online published: 2022-01-05

Supported by

National Natural Science Foundation of China(22002122)

Fundamental Research Funds for the Central Universities, Southwest Minzu University(2020NQN08)

摘要

二氧化碳(CO2)是大气中主要温室气体之一,也是丰富、安全、可再生的碳一资源。将CO2催化转化为高附加值化学品不仅能改善人类长期依赖化石资源的困境,还能有效减少CO2排放,助力实现“碳达峰、碳中和”这一“双碳”目标。N,N-二甲基甲酰胺(DMF)是一种年产百万吨级的平台化合物,是优良的溶剂以及重要的化工中间体。因此,以CO2作为羰源,通过高效催化体系的构建实现CO2与二甲胺反应合成DMF具有重要意义。本文分别从还原剂、催化体系和反应机理等角度综述了这一领域近年来的研究进展。最后,对CO2合成DMF催化过程中所面临的问题和未来的发展方向进行了探讨和展望。

本文引用格式

吴亚娟 , 罗静雯 , 黄永吉 . 二氧化碳与二甲胺催化合成N,N-二甲基甲酰胺[J]. 化学进展, 2022 , 34(6) : 1431 -1439 . DOI: 10.7536/PC210909

Abstract

Global warming and the energy crisis are posing increasingly severe risks for the economy, ecosystems and human health. As one kind of dominant greenhouse gas, carbon dioxide (CO2) contributes most to global warming, while it is also considered as an abundant, nontoxic, and renewable C1 source. Thus far, transforming CO2 into high value-added chemicals through modern technologies has attracted significant attention owing to its unique advantages. It can not only alleviate human reliance on fossil resources, but also effectively weaken the greenhouse effect. It is of great help to achieve China’s “dual-carbon” goal of “carbon peak and carbon neutrality”. N,N-Dimethylformamide (DMF), an extremely versatile solvent and important chemical intermediate, can be synthesized by using CO2 and dimethylamine as raw materials over different catalysts. Therefore, the development of efficient catalytic systems is crucial for the transformation of CO2 into high value-added products. This article reviews the current status and progress in the synthesis of DMF with CO2 and dimethylamine with respect to reducing agents, catalytic systems as well as the reaction mechanisms of these different catalytic systems. Furthermore, we conclude the frontiers and future prospects of the catalytic synthesis of DMF from CO2 and dimethylamine, providing readers a snapshot of this field.

Contents

1 Introduction

2 H2 as reducing agent

2.1 Noble catalytic system

2.2 Non-noble catalytic system

3 Other reducing agent

3.1 Hydrosilanes as reducing agent

3.2 Boranes as reducing agent

3.3 Ammonium salts as reducing agent

4 Conclusion and outlook

1 引言

CO2既是影响环境的温室气体,也是取之不尽用之不竭、廉价、无毒以及可再生的碳一资源,通过化学转化的途径将CO2转化为高附加值化学品,不仅能缓解化学工业对化石资源的依赖,还能有效减少CO2排放,有利于缓解温室效应带来的危害。另外,以CO2代替传统化学工业使用的有毒且易挥发酰基化试剂、光气和CO更符合绿色化学的理念[1~3]
N,N-二甲基甲酰胺(DMF)不仅是一种重要的“万能溶剂”,同时作为医药、农药和有机合成的重要中间体被广泛应用于工业生产[4]。目前,工业上DMF的合成方法主要是通过甲醇钠催化二甲胺和CO直接反应生成DMF[5]。此生产方法具有原料来源广泛、适合大规模连续生产等优点,美国、日本以及我国上规模企业等大多采用此法。但是此方法在实际生产中,会发生一些副反应,产生一甲基甲酰胺(MMF)、二甲基乙酰胺(DMAC)、甲酸以及盐类物质氢氧化钠、甲酸钠、碳酸氢钠、碳酸钠等,因此每隔一段时间需要停产进行固体沉积物的清除及设备保养。而且,该方法依赖于不可再生的煤炭资源,在DMF的大规模生产中消耗量大,不利于可持续发展[6]
因此,以CO2作为羰源,通过高效催化体系的构建实现二甲胺合成DMF无疑是一条绿色、可持续的途径。本文综述了近年来二甲胺与CO2反应合成DMF的反应研究及发展现状。在此基础上,对不同催化体系的典型反应机理进行了讨论,并对未来可能的发展方向进行了探讨和展望。

2 H2作为还原剂

2.1 均相催化体系

2.1.1 贵金属催化体系

1970年,Haynes[7]首次报道了均相催化二甲胺、CO2和H2制备DMF(图1)。金属配合物包括CoH(dppe)2、(PPh3)3RhCl、(PPh3)3CuCl、(PPh3)3RuCl都具有很高的催化活性,其中(PPh3)2(CO)IrCl活性最好,在125 ℃、总压力为54 bar ( p C O 2= p H 2)下,DMF的TON达到1200。该工作开启了CO2甲酰化合成DMF的先河。
图1 二甲胺与CO2/H2催化合成DMF反应[7]

Fig. 1 Catalytic synthesis of DMF with dimethylamine and CO2/ H 2 [7]

Kudo等[8]在碱性条件下,以摩尔分数为2.9%的PdCl2为催化剂,在4 MPa CO2、8 MPa H2和170 ℃条件下,DMF收率达到99%。随后,在甲基纤维素-苯混合溶剂体系中,以(PPh3)3RhCl为催化剂,对二甲胺、CO2和H2合成DMF反应进行了动力学研究,考察了催化剂、二甲胺浓度、CO2/H2压力以及温度对于反应速率的影响[9]。基于动力学研究结果,推导出反应机理如下(图2):
图2 (PPh3)3RhCl催化DMF合成反应机理[9]

Fig. 2 The reaction mechanism of DMF synthesis catalyzed by (PPh3)3RhCl[9]

Vaska等[10,11]以[Pt2(μ-dppm)3]作为催化剂,在1 atm二甲胺气体、10~12 atm CO2、67~94 atm H2、25~125 ℃条件下合成DMF,TON最高可达1460,选择性最高可达95%。相比于其他贵金属催化剂,Pt型催化剂的催化条件更为温和,进一步扩大了贵金属型催化剂的应用。
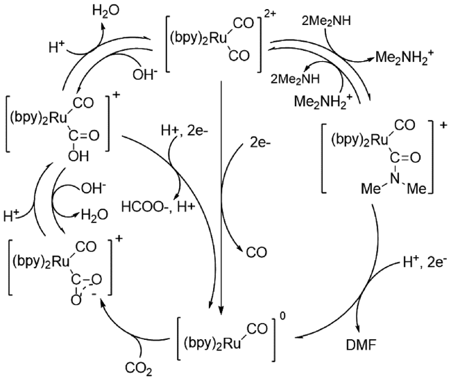
1987年,Tanaka等[12]首次报道[Ru(bpy)2(CO)2]2+(bpy=2,2-二吡啶)电催化二甲胺与CO2合成DMF。经傅里叶变换红外光谱(FTIR)和核磁共振氢谱(1H NMR)研究发现该催化剂在二甲胺存在时可快速和胺结合生成[Ru(bpy)2(CO)C(O)NMe2]+,经过双电子还原生成DMF和五配位的[Ru(bpy)2(CO)]0,这个零价Ru物种将再度吸收CO2,使得反应持续进行(图3)。
图3 Ru催化DMF合成反应机理[12]

Fig. 3 Reaction mechanism of Ru-catalyzed synthesis of DMF[12]

二甲基铵·二甲基(DIMCARB)在60 ℃以上分解成二甲胺和CO2,常被用作二甲胺的来源。1994年,Noyori等[13]以DIMCARB作为二甲胺的前驱体,在超临界反应条件下(130 ℃, 13 MPa CO2, 8 MPa H2),RuCl2[P(CH3)3]4催化合成DMF的TON高达370 000,TOF高达10 000 h-1。这主要是由于在超临界条件下,整个反应处于均相状态,H2、CO2的溶解度以及反应速率均得到了大幅提升。在放大反应过程中,通过周期性补充H2和scCO2保持scCO2压力与氢胺比,在100 ℃条件下DMF的TON最高可达到420 000[14]。受Noyori的工作启发,Baiker等[15]制备了更高活性的[RuCl2(dppe)2]配合物,在无须任何溶剂、100 ℃、13 MPa CO2和8.5 MPa H2条件下,DMF的TON达到740 000,TOF高达360 000 h-1。通过放大反应,1 g Ru催化剂在2 h内可以生产530 kg的DMF。
对于在超临界流体中的化学反应,反应结果受催化体系相态影响很大,即使在反应的初始阶段,包括分子催化剂、起始原料和溶剂在内的所有组分都是可溶性非超临界流体,反应过程中各组分经常发生相分离导致反应效率降低。2001年,Ikariya等[16]根据CO2甲酰化反应制备了含三(羟甲基)膦的水溶性Ru(Ⅱ)配合物RuCl2[PH(CH2OH)2]2[P(CH2OH)3]2,采用这种水溶性三烷基膦配体可以克服反应过程中因相分离而导致的催化剂失活问题,在scCO2-H2O两相体系,CO2合成DMF反应中TON可达到10 000。此后,Behr等[17]制备出了Ru-膦络合物用于催化CO2甲酰化反应,并应用ICP测试催化剂在反应过程中的流失量。配合物[RuCl2(dppb)2]在CO2甲酰化合成DMF反应中的TON最高为4100,催化剂流失量最低为2.9%。
2015年,丁奎岭等报道了 Ru配合物高效催化伯、仲胺甲酰化反应,在二甲胺甲酰化合成DMF反应中,使用0.01 mol%催化剂,在 p C O 2 p H 2分别为35 atm、110 ℃条件下反应16 h,DMF的收率为59%,TON值高达599 000[18~20]。值得注意的是,将该类催化剂应用于DMF合成反应,催化剂重复使用12次之后活性仍然基本保持不变(图4)。令人欣慰的是,该体系在2019年成功实现了DMF合成的工业化生产应用,转化效率为53.8%,吨产品消耗催化剂低于0.65 g,是全球首套千吨级DMF生产装置。
图4 Ru pincer催化二甲胺与CO2/H2甲酰化反应[18]

Fig. 4 Ru pincer catalyze formylation of dimethylamine with CO2/ H 2 [18]

2017年,Vorholt课题组[21]报道了RuCl3·H2O和2,2'-二[(二苯基膦基)甲基]-1,1'-联苯(BISBI)原位生成Ru配合物催化二甲胺合成DMF反应。采用 2-乙基己醇为两相溶剂,催化剂被固定在非极性溶剂中,产物DMF被原位萃取至水相。催化剂重复10次平均收率为31%。随后,他们由釜式设备转移至连续生产的小型工厂,DMF收率仍可保持在31%,TON达到4942,所得产物通过蒸馏分离得到纯品[22]。通过机理研究(图5),发现CO2合成DMF的中间产物是甲酸盐而不是CO,CO2和胺的相互作用是影响产物收率的主要因素[23]。为了改善甲酸酯中间体与胺,特别是与非碱性芳香胺的缩合反应速率,该课题组开发了一种两步法工艺来改进缩合和后续产品分离(图6)。即在小型反应器装置中将CO2加氢生成甲酸盐,然后在蒸馏纯化过程中与胺缩合。新一代甲酰胺合成工艺可快速形成甲酸盐,进一步选择性缩合生成所需的甲酸铵[24]
图5 Ru-Macho催化DMF合成反应机理[23]

Fig. 5 Mechanism for DMF synthesis catalyzed by Ru-Macho[23]

图6 两步法合成DMF[24]

Fig. 6 Concept of the two-step process for the synthesis of DMF[24]

2.1.2 非贵金属催化体系

由于贵金属在地壳中的含量稀少,使用成本较高,因此,开发高效、温和的非贵金属催化体系替代贵金属体系具有重要的现实意义。
2001年,Takashi课题组[25]通过在甲苯中回流[MoH4(dppe)2]和PhSiH3得到MoH3{Si(Ph)[Ph2PCH2CH2P(Ph)C6H4-o]2}](图7,R1),并首次将其应用于CO2合成DMF。作者认为,在110 ℃、25 atm CO2、35 atm H2条件下,CO2插入Mo—H键形成的活性中间物种是生成DMF的活性催化剂和关键中间体。
图7 Co pincer配合物催化CO2/H2、胺甲酰化反应[25]

Fig. 7 Co pincer catalyze formylation of dimethylamine with CO2/ H 2 [25]

如果将上述催化剂中的R官能团替换为给电子官能团,其中,当R替换为4-Me2NC6H4(R2),二甲胺甲酰化反应TON由92提升至130。这可能是由于给电子官能团可以提升Si原子的电子密度[26]
Beller等[27]将贵金属替换为廉价易得的铁,以Fe(BF4)2·6H2O为催化剂前体和P(CH2CH2PPh2)3作为配体原位生成的Fe配合物催化合成DMF的收率为75%,TON为727。随后,他们又以三[2-(二苯基膦基)苯基]膦为配体发展了更加高效的Fe催化剂,反应的TON达到5104,是迄今为止最活跃和产量最高的Fe催化剂[28]。此外,他们发现Co(BF4)2·6H2O和P(CH2CH2PPh2)3形成的配合物也能有效催化二甲胺与CO2、H2合成DMF,反应的TON为1308[29]
2017年,Milstein等[30]用Co pincer配合物催化剂,以NaHBEt3和BuOK为助剂,在CO2/H2各30 bar、150 ℃下,二甲胺合成DMF收率为99%。机理如下(图8):Co pincer配合物分别与NaHBEt3和BuOK作用生成不饱和中间体A,随后加氢生成中间产物B,CO2插入Co—H形成中间体C,过量胺与C去质子化、脱水形成甲酰胺。
图8 Co pincer催化胺与CO2/H2甲酰化反应机理[30]

Fig. 8 Co pincer catalyze formylation of amine with CO2/ H 2 [30]

同年,Jessop等[31]开发了一种非贵金属Ni催化CO2胺化制备甲酰胺的方法。其中,Ni(OAc)2·4H2O与1,2-双(二甲基瞵)乙烷(dmpe)原位配位形成的Ni-膦体系催化活性最高(图9)。在100 ℃、60 bar CO2和40 bar H2条件下反应21 h,TON为632。
图9 Ni(Ⅱ)配合物催化二甲胺与CO2/H2合成DMF[31]

Fig. 9 Ni(Ⅱ)-catalyzed DMF synthesis from CO2/ H 2 [31]

随后,他们对Ni配合物催化剂进行优化,制备了cis-[NiCl2(dmpe)],该催化剂配位更不饱和,更容易活化CO2,因此在反应过程中催化活性更高。[NiCl2(dmpe)]催化CO2合成DMF反应TON最高可达6300[32]

2.2 多相催化体系

2.2.1 贵金属催化体系

1996年,Baiker课题组[33~35]首次将[RuCl2{PMe2(CH2)2Si(OEt)3}3]配合物和Si(OEt)4经溶胶-凝胶法制成多相催化剂应用于胺甲酰化反应,在H2压力为8.5 MPa、CO2压力为13 MPa (scCO2)、373 K反应15 h,DMF选择性为100%,收率达94%,TON最高可达110 800,TOF最高为1860 h-1。通过对催化过程各项控制参数的研究表明,反应速率受化学反应本身的限制,不受外部传质过程的影响,CO2分压和二甲胺浓度对反应影响很小,H2分压对反应影响较大[36]
2003年,Ikariya等[37]将Ru(Ⅱ)配合物键合在两亲性树脂(PS-PEG)上,其两亲性结合了均相催化剂亲水性和多相催化剂可重复利用的优点,以scCO2作为溶剂及羰源,二甲胺与H2反应生成DMF,在100 ℃下反应15 h,TON为1960,该催化剂可重复使用5次,催化活性无明显下降(图10)。
图10 PS-PEG负载Ru(Ⅱ)配合物催化二甲胺甲酰化反应[37]

Fig. 10 Formylation of dimethylamine catalyzed by PS-PEG-bound Ru complexes[37]

2020年,Yoon等[38]将RuCl3与膦基多孔有机聚合物配位形成Ru@PP-POP催化剂用于CO2合成DMF反应,初始TOF为29 000 h-1,而TON则高达160 000(图11)。该催化剂在加氢过程中表现出良好的选择性和稳定性,已成功应用于连续流反应器,具有一定的工业化规模生产前景。
图11 Ru@PP-POP催化剂合成[38]

Fig. 11 Synthesis of Ru@PP-POP catalysts[38]

同年,大连化物所丁云杰等[39]运用溶剂热方法制备了一种含碱性官能团的多孔有机聚合物Ru-PPh3-SO3Na@POPs,在CO2和H2分别为3 MPa、100 ℃下反应24 h,DMF收率为62%。次年,Jia等[40]制备了一系列吡啶功能化的多孔有机聚合物(POP3-Py&PPh3)。聚合物材料中的吡啶基团有助于CO2吸附及转化,以POP为载体的催化剂Ru/POP3-Py&PPh3在多种伯、仲胺与CO2N-甲酰化反应中表现出很高的催化活性,在CO2和H2分别为2 MPa,100 ℃下,DMF收率为60%。
2014年,石峰课题组[41]以贵金属Pd作为活性中心催化胺甲酰化反应,他们将Pd还原沉积在水热法合成的Al2O3纳米棒(Al2O3-NR)上,制备了一种简单高效的Pd/Al2O3-NR-RD催化剂。在1 MPa CO2、2 MPa H2、130 ℃条件下,该催化剂在催化胺甲酰化反应中表现出很高的活性,其中由二甲胺合成DMF的分离收率为84%。随后,他们通过原位还原Pd(NH3)xCly/C生成一种羟基功能化碳材料负载的高活性纳米Pd/C催化剂。其中,羟基可以有效地调节Pd/C的催化活性,也可以调节碳表面的亲/疏水性,促进Pd位点周围的CO2和胺吸附。在合成DMF中,在1 MPa CO2,2 MPa H2,105 ℃条件下反应24 h,DMF的分离收率为53%[42]。2019年,该课题组再次创新性地将Pd担载在凹凸棒(PAL)上制备了Pd/PAL催化剂,利用凹凸棒丰富的沸石状通道、高比表面积、具有多种类型的酸和碱的活性位点的优势,Pd/PAL在96 ℃、1 MPa CO2、2 MPa H2条件下,在二甲胺合成DMF反应中收率达到86%[43]
复旦大学曹勇课题组[44]报道了一种高效的TiO2负载Ir催化剂Ir/HSA-TiO2-A,在140 ℃、无有机溶剂条件下直接由CO2、H2和NHMe2水溶液合成DMF,收率达到93.5%。
2016年,Jain等[45]报道了一种氧化石墨烯(GO)接枝Ir配合物催化剂GO-Ir,在总压力为60 bar( p C O 2/ p H 2=1)、100 ℃条件下,由40 wt%的NHMe2水溶液催化合成DMF收率为92%,选择性为95%。
随后,涂涛等[46]首次使用氮杂卡宾(NHC)配位Ir生成NHC-Ir,这种高效固体分子催化剂可以重复使用10次而不发生明显失活。在总压力为60 bar( p C O 2/ p H 2=1)、100 ℃条件下,高效催化各类胺甲酰化反应中,其中由DIMCARB合成DMF的分离收率为53%。2021年,他们用直接超交联方法制备多孔有机聚合物POMPs-NHC-Ir(图12)。该催化剂具有性质稳定、CO2吸附强、多级孔道分布、金属中心高度分散等优点。在120 ℃、无需溶剂、碱和添加剂条件下,采用ppm级的催化剂,在DMF合成中获得了创纪录的TON (1.58×106),固体POMP-NHC-Ir催化剂可以重复使用12次而没有明显失活,突出了其良好的工业应用潜力[47]
图12 NHCs-Ir及POMPs-NHC-Ir结构示意图[47]

Fig. 12 Structure of NHCs-Ir and POMPs-NHC-Ir[47]. Copyright 2021, Wiley-VCH

2013年,BASF公司使用氧化物负载贵金属Au配合物作为催化剂,在各类胺甲酰化反应中具有良好的催化效果,其中由二甲胺合成DMF的反应在140 ℃、H2和CO2总压力为140 bar(CO2约60 bar)条件下,产物中DMF占比约为56%[48]。2020年,Ji等[49]采用热回流法制备了具有配位不饱和Zr4+中心的MOF-808(Zr)催化剂,并采用浸渍还原法制备了不同Au担载量的Au/MOF-808(Zr)催化剂。1 MPa CO2、2 MPa H2、200 ℃条件下反应10 h,DMF的收率可达到99%。

2.2.2 非贵金属催化体系

2010年,韩布兴课题组[50]以DIMCARB为胺源,针对CO2加氢生成DMF反应制备了一系列Cu多相催化剂,经过活性测试,发现Cu/ZnO(Cu∶Zn =3∶2)的催化活性最高,在140 ℃条件下反应6 h,收率可达97%。该体系中,Cu与ZnO具有很好的协同催化效果,开辟了非贵金属多相催化合成DMF的先河。
此后,Jain等[51]在回流条件下,将甘氨酸和CuCl2混合在乙醇中制得Cu(gly)2配合物,使用该催化剂在无溶剂条件下,85 ℃、4 h内DMF的收率高达91%。
2018年,Seyed Mohsen等[52]报道出将非贵金属铁配合物固载在纳米金属颗粒表面,制备配合物FeNi3/KCC-1/APTPOSS/TCT/PVA/Cu(Ⅱ) MNPs(图13)。当CO2为1.5 MPa、H2为2 MPa时,在1,4-二氧六环中回流80 min,DMF的收率为91%。
图13 FeNi3/KCC-1/APTPOSS/TCT/PVA/Cu(Ⅱ) MNPs结构示意图[52]

Fig. 13 Structure of FeNi3/KCC-1/APTPOSS/TCT/PVA/Cu(Ⅱ) MNPs[52]

石峰等[53]在共沉淀法制备的CuAlOx多相催化剂表面原位沉积氮掺杂碳膜,将其应用于CO2选择性合成DMF反应。经DFT计算发现,CuAlOx表面原位生成的层状碳膜可以抑制DMF进一步加氢生成三甲胺。重复使用三次以后,在160 ℃、3 MPa CO2、7 MPa H2条件下,反应24 h,DMF的收率可达到97.3%。
2021年,Sun与Zhiani等[54]首次将介孔Sn(Ⅳ)掺杂DFNS负载的BaMnO3纳米颗粒(BaMnO3/SnD NPs)作为催化剂用于CO2甲酰化反应中,在100 ℃下,总压力为5.0 MPa(CO2∶H2=1∶1)条件下,DMF收率为92%。

3 其他还原剂

除了H2以外,其他高活性还原剂如硅烷(R3Si-H)、硼烷(R2B-H),也被应用于CO2加氢反应中。相比于H—H键,Si—H与B—H键能更低,因此更易被活化,反应条件更温和。

3.1 硅烷作为还原剂

在有机催化过程中,1,5,7-三氮杂双环(TBD)是促进CO2插入N—H键形成CO2加合物的有效催化剂。2012年,Cantat等[55]以TBD催化胺甲酰化反应,在100 ℃、2 bar CO2、无溶剂条件下,以PhSiH3为氢源,DMF的分离收率达到83%。相比于其他氢硅烷,聚甲基氢硅氧烷(PMHS)更稳定,能够长时间地储存而不失活,而且PMHS是硅工业的副产物,是一种廉价易得的还原剂。但是PMHS的反应活性很低。为了活化PMHS,他们采用活性更高的氮杂卡宾(NHC)作为有机催化剂,在室温下,IPr型卡宾化合物催化二甲胺与1 bar CO2的反应收率可以达到90%(图14)[56,57]
图14 硅烷作为氢源还原 CO 2 [56,57]

Fig. 14 Reduction of CO2 by silane as hydrogen source[56,57]

2013年,Baba等[58]报道了一种Cu(OAc)2·H2O与配体1,2-双(二苯基膦)苯原位生成的铜-二膦配合物催化剂在1 atm CO2、80 ℃条件下以PMHS作为氢源催化胺甲酰化反应,其中,DMF收率达到75%。
2016年,Fu和Lin等[59]以简单的碱金属碳酸盐特别是碳酸铯,催化胺甲酰化反应。通过改变反应温度和硅烷种类,在室温条件下将DMF收率提高至95%。同年,Bhanage等[60]也报道了一种K2CO3催化体系,DMF收率达到了92%,该工作进一步拓展了碱金属盐催化体系。
N-杂环烯烃(NHO)是一类特殊的新型有机配体,具有很强的供电子特性。Bhanage等[61]以PMHS或9-BBN作为还原剂,以NHO有机催化剂促进胺的N-甲酰化反应,在80 ℃、2 MPa CO2条件下DMF的收率分别为72%或78%。反应过程中原位生成的两性离子NHO-羧酸盐(NHO-CO2)是CO2活化的关键。
2019年,Islam等[62]在环境温度下,采用Merrifield树脂负载纳米Pd制得Pd-PS-amtp催化剂,以PMHS为氢源,在1 MPa CO2、50 ℃条件下催化胺甲酰化反应,DMF分离收率可达82%。Ji等[63]以苯硅烷作为氢源,以商业购买的ZnO催化胺选择性N-甲酰化反应,以1 mol% TBAB作为助催化剂,在40 ℃、1 MPa CO2条件下反应2 h,DMF收率为98%。

3.2 硼烷作为还原剂

2016年,Bhanage等[64]将分子筛引入胺甲酰化反应催化体系中,以胺修饰的介孔氧化铝Al2O3@MCM-41为催化剂,以二甲胺硼烷(DMAB)为还原剂,DMF收率达到99%。随后,他们采用离子液体聚合物(PIL)负载的钌纳米颗粒(Ru-NPs)作为催化剂,DMF的收率为89%[65]。2018年,该课题组以B(C6F5)3作为有机催化剂,以二甲胺硼烷(Me2NHBH3)作为氢源,DMF的产率为89%,TON为1112.6[66]。硼催化剂与胺之间的相互作用可以有效活化CO2和Me2NHBH3分子。虽然上述转化路径能够高收率生成DMF,但TON适中,距离工业化应用较远。

3.3 其他还原剂

2014年,Tanaka课题组[67]开发了[Ru(bpy)2(CO)2]2+光催化CO2选择性合成DMF反应体系。经过机理研究表明,Me2NH先亲核攻击[Ru(bpy)2(CO)2]2+形成了前驱体[Ru(bpy)2(CO)(CONMe2)]+,进而转化为DMF。在该过程中,Me2NH既是电子供体又是反应底物,而$Me_2 NH_2^-$提供质子。另外,由于Li+形成的Ru-CO2支架结构具有强稳定性,阻止了Ru-CO络合物的形成。因此,Li+的存在可以极大地抑制DMF的产生(图15)。
图15 Ru催化CO2还原合成酰胺和HCOOH反应机理[67]

Fig. 15 Proposed reaction mechanism for dialkyl formamide and HCOOH generation by CO2 reduction[67]

4 结论与展望

CO2既是一种温室气体,又是相对安全、清洁、低成本的原料。DMF用途广泛,市场潜力巨大。因此,由CO2合成DMF将变废为宝,实现CO2的高值化利用。本综述按照不同氢源和催化体系对CO2与二甲胺合成DMF的研究进展进行了分类介绍。该领域已经取得了较好的研究进展,例如:催化体系已经涵盖了热催化、光催化和电催化领域;活性催化剂包括贵金属、非贵金属、分子筛和有机催化剂;催化效率如TON也达到了百万级,而收率也高达99%。
虽然取得了以上进展,但该领域仍有一些挑战亟待解决。(1)目前已有的高效、温和的催化体系多以硅烷或硼烷作为还原剂,反应过程中会产生当量的硅烷醇和硼酸,不符合原子经济性的要求;而以绿色、清洁、经济的H2作为还原剂时,反应条件较为苛刻,包括反应压力较高、已报道的高TON体系很多需要引入超临界反应体系,对设备要求苛刻。(2)均相催化体系多涉及对空气和水十分敏感、价格昂贵的膦配体的使用,催化剂成本高、合成复杂,使实际应用变得困难;另外,均相催化体系面临着催化剂回收问题。(3)非贵金属催化体系面临着反应条件较为苛刻、催化剂用量高、转化数不高等问题,远远达不到工业化生产的要求。如何构建高效、经济、绿色的非贵金属催化体系,实现温和条件下的DMF合成仍是未来需要重点关注的问题。(4)通过表征技术揭示催化剂(尤其是多相催化剂)构效关系,通过原位光谱技术对催化过程进行机理研究,将为催化剂设计和高效催化体系的建立提供理论参考。总之,利用现代催化剂表征手段和理论计算方法,开发高效、经济、具有工业化应用前景的CO2合成DMF催化反应体系仍将是未来的发展方向。
[1]
He M Y, Sun Y H, Han B X. Angew. Chem. Int. Ed., 2013, 52(37): 9620.

DOI

[2]
Liu Q, Wu L P, Jackstell R, Beller M. Nat. Commun., 2015, 6: 5933.

DOI

[3]
Artz J, Müller T E, Thenert K. Chem. Rev., 2018, 118(2): 434.

DOI

[4]
Muzart J. Tetrahedron, 2009, 65(40): 8313.

DOI

[5]
Weissermel K, Arpe H J. Industrial Organic Chemistry. 3rd ed. Wiley-VCH: Weinheim, 1997.

[6]
Tu T, Shen Y J, Zheng Q S. CN 111205198, 2020.

( 涂涛, 申雅靓, 郑庆舒. CN 111205198, 2020.).

[7]
Haynes P, Slaugh L H, Kohnle J F. Tetrahedron Lett., 1970, 11(5): 365.

DOI

[8]
Kudo K, Phala H, Sugita N, Takezaki Y. Chem. Lett., 1977, 6(12): 1495.

DOI

[9]
Heng P, Kiyoshi K, Nobuyuki S. Bull. Inst. Chem. Res., Kyoto Univ., 1981, 59(2): 88.

[10]
Schreiner S, Yu J Y, Vaska L. J. Chem. Soc., Chem. Commun., 1988(9): 602.

[11]
Schreiner S, Yu J Y, Vaska L. Inorganica Chimica Acta, 1988, 147(2): 139.

DOI

[12]
Ishida H, Tanaka H, Tanaka K, Tanaka T. Chem. Lett., 1987, 16(4): 597.

DOI

[13]
Jessop P G, Hsiao Y, Ikariya T, Noyori R. J. Am. Chem. Soc., 1994, 116(19): 8851.

DOI

[14]
Jessop P G, Hsiao Y, Ikariya T, Noyori R. J. Am. Chem. Soc., 1996, 118(2): 344.

DOI

[15]
Kröcher O, Köppel R A, Baiker A. Chem. Commun., 1997(5): 453.

[16]
Kayaki Y, Suzuki T, Ikariya T. Chem. Lett., 2001, 30(10): 1016.

DOI

[17]
Behr A, Ebbinghaus P, Naendrup F. Chem. Eng. Technol., 2004, 27(5): 495.

DOI

[18]
Zhang L, Han Z B, Zhao X Y, Wang Z, Ding K L. Angew. Chem. Int. Ed., 2015, 54(21): 6186.

DOI PMID

[19]
Ding K L, Zhang L, Han Z B, Wang Z, Zhao X Y. CN , 2016.

( 丁奎岭, 张磊, 韩召斌, 王正, 赵晓宇. CN 105985254, 2016.).

[20]
Ding K L, Qiu J, Yan T, Zhang L, Wang Z. CN 109553641, 2017.

( 丁奎岭, 邱佳, 闫涛, 张磊, 王正. CN 109553641, 2017.).

[21]
Kuhlmann R, Schmitz S, Haβmann K, Prüllage A, Behr A. Appl. Catal. A Gen., 2017, 539: 90.

DOI

[22]
Kuhlmann R, Prüllage A, Künnemann K, Behr A, Vorholt A J. J. CO2 Util., 2017, 22: 184.

[23]
Kuhlmann R, Nowotny M, Künnemann K U, Behr A, Vorholt A J. J. Catal., 2018, 361: 45.

DOI

[24]
Kuhlmann R, Künnemann K U, Hinderink L, Behr A, Vorholt A J. ACS Sustainable Chem. Eng., 2019, 7(5): 4924.

DOI

[25]
Minato M, Zhou D Y, Sumiura K I, Hirabayashi R, Yamaguchi Y, Ito T. Chem. Commun., 2001(24): 2654.

[26]
Minato M, Zhou D Y, Sumiura K I, Oshima Y, Mine S, Ito T, Kakeya M, Hoshino K, Asaeda T, Nakada T, Osakada K. Organometallics, 2012, 31(14): 4941.

DOI

[27]
Federsel C, Boddien A, Jackstell R, Jennerjahn R, Dyson P J, Scopelliti R, Laurenczy G, Beller M. Angew. Chem. Int. Ed., 2010, 49(50): 9777.

DOI

[28]
Ziebart C, Federsel C, Anbarasan P, Jackstell R, Baumann W, Spannenberg A, Beller M. J. Am. Chem. Soc., 2012, 134(51): 20701.

DOI

[29]
Federsel C, Ziebart C, Jackstell R, Baumann W, Beller M. Chem. Eur. J., 2012, 18(1): 72.

DOI

[30]
Daw P, Chakraborty S, Leitus G, Diskin-Posner Y, Ben-David Y, Milstein D. ACS Catal., 2017, 7(4): 2500.

DOI

[31]
Affan M A, Jessop P G. Inorg. Chem., 2017, 56(12): 7301.

DOI

[32]
Affan M A, Schatte G, Jessop P G. Inorg. Chem., 2020, 59(19): 14275.

DOI

[33]
Kröcher O, Köppel R A, Baiker A. Chem. Commun., 1996(13): 1497.

[34]
Kröcher O, Köppel R A, Fr?ba M, Baiker A. J. Catal., 1998, 178(1): 284.

DOI

[35]
Schmid L, Baiker A. Stud. Surf. Sci. Catal., 2000, 557.

[36]
Krocher O, Koppel R A, Baiker A J. Mol. Catal. A: Chem., 1999, 140(2): 185.

DOI

[37]
Kayaki Y, Shimokawatoko Y, Ikariya T. Adv. Synth. Catal., 2003, 345(12): 175.

DOI

[38]
Gunasekar G H, Padmanaban S, Park K, Jung K D, Yoon S. ChemSusChem, 2020, 13(7): 1735.

DOI

[39]
Wang G Q, Jiang M, Ji G J, Sun Z, Li C Y, Yan L, Ding Y J. ACS Sustainable Chem. Eng., 2020, 8(14): 5576.

DOI

[40]
Zhang K, Zong L B, Jia X F. Adv. Synth. Catal., 2021, 363(5): 1335.

DOI

[41]
Cui X J, Zhang Y, Deng Y Q, Shi F. Chem. Commun., 2014, 50(2): 189.

DOI

[42]
Zhang Y J, Wang H L, Yuan H K, Shi F. ACS Sustainable Chem. Eng., 2017, 5(7): 5758.

DOI

[43]
Dai X C, Wang B, Wang A Q, Shi F. Chin. J. Catal., 2019, 40(8): 1141.

DOI

[44]
Bi Q Y, Lin J D, Liu Y M, Xie S H, He H Y, Cao Y. Chem. Commun., 2014, 50(65): 9138.

DOI

[45]
Kumar S, Kumar P, Deb A, Maiti D, Jain S L. Carbon, 2016, 100: 632.

DOI

[46]
Zhang Y, Wang J Q, Zhu H B, Tu T. Chem. Asian J., 2018, 13(20): 3018.

DOI

[47]
Shen Y J, Zheng Q S, Chen Z N, Wen D H, Clark J H, Xu X, Tu T. Angew. Chem. Int. Ed., 2021, 60(8): 4125.

DOI

[48]
Schaub T, Paciello R, Pazicky M, Fachinetti G, Preti D. US 2013102807, 2013.

[49]
Mu J C, Liu J F, Ran Z Z, Arif M, Gao M, Wang C, Ji S F. Ind. Eng. Chem. Res., 2020, 59(14): 6543.

DOI

[50]
Liu J L, Guo C K, Zhang Z F, Jiang T, Liu H Z, Song J L, Fan H L, Han B X. Chem. Commun., 2010, 46(31): 5770.

DOI

[51]
Kumar S, Jain S L. RSC Adv., 2014, 4(109): 64277.

DOI

[52]
Rahele Z, Seyed Mahdi S, Mahboobeh Z, Seyed Mohsen S. Catal. Lett., 2018, 148(8): 2487.

DOI

[53]
Wu Y J, Wang T, Wang H L, Wang X Z, Dai X C, Shi F. Nat. Commun., 2019, 10: 2599.

DOI

[54]
Yang J, Wang L J, Sun A L, Zhiani R. Catal. Lett., 2021, 151(2): 573.

DOI

[55]
Das Neves Gomes C, Jacquet O, Villiers C, Thuéry P, Ephritikhine M, Cantat T. Angew. Chem. Int. Ed., 2012, 51(1): 187.

DOI

[56]
Jacquet O, Das Neves Gomes C, Ephritikhine M, Cantat T. J. Am. Chem. Soc., 2012, 134(6): 2934.

DOI

[57]
Cantat T, Gomes C, Jacquent O. US 2014018567, 2014.

[58]
Motokura K, Takahashi N, Kashiwame D, Yamaguchi S, Miyaji A, Baba T. Catal. Sci. Technol., 2013, 3(9): 2392.

DOI

[59]
Fang C, Lu C L, Liu M H, Zhu Y L, Fu Y, Lin B L. ACS Catal., 2016, 6(11): 7876.

DOI

[60]
Nale D B, Bhanage B M. Synlett, 2016, 27(09): 1413.

DOI

[61]
Saptal V B, Bhanage B M. ChemSusChem, 2016, 9(15): 1980.

DOI

[62]
Ghosh S, Ghosh A, Biswas S, Sengupta M, Roy D, Islam S M. ChemistrySelect, 2019, 4(13): 3961.

DOI

[63]
Wang P B, He Q, Zhang H, Sun Q D, Cheng Y J, Gan T, He X H, Ji H B. Catal. Commun., 2021, 149: 106195.

DOI

[64]
Nale D B, Rath D, Parida K M, Gajengi A, Bhanage B M. Catal. Sci. Technol., 2016, 6(13): 4872.

DOI

[65]
Saptal V B, Sasaki T, Bhanage B M. ChemCatChem, 2018, 10(12): 2593.

DOI

[66]
Saptal V B, Juneja G, Bhanage B M. New J. Chem., 2018, 42(19): 15847.

DOI

[67]
Kobayashi K, Kikuchi T, Kitagawa S, Tanaka K. Angew. Chem. Int. Ed., 2014, 53(44): 11813.

DOI PMID

文章导航

/


AI


AI小编
你好!我是《化学进展》AI小编,有什么可以帮您的吗?